FSMbonfbound

FSMbonfbound computes Bonferroni bounds for each step of the search (in mult analysis)

Syntax

  • Bbound=FSMbonfbound(n,p)example
  • Bbound=FSMbonfbound(n,p,Name,Value)example

Description

example

Bbound =FSMbonfbound(n, p) Example using default options.

example

Bbound =FSMbonfbound(n, p, Name, Value) Options init and prob.

Examples

expand all

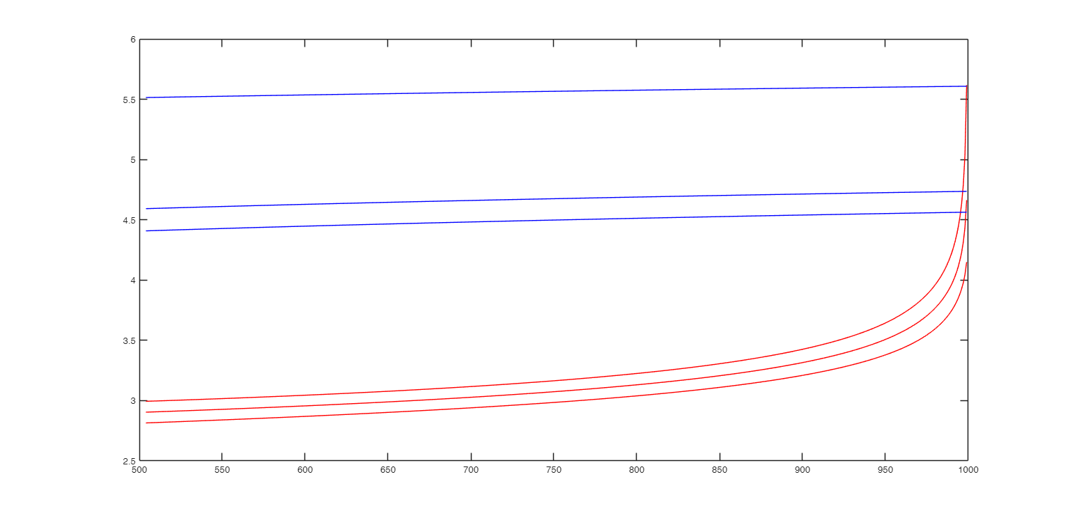
  • Example using default options.
  • n=1000;
    p=5;
    init=floor(0.5*(n+p+1))+1;
    MMDenv = FSMenvmmd(n,p,'init',init);
    Bbound = FSMbonfbound(n,p,'init',init);
    figure;
    plot(MMDenv(:,1),MMDenv(:,2:end),'r',Bbound(:,1),Bbound(:,2:end),'b');
    Click here for the graphical output of this example (link to Ro.S.A. website).

  • Options init and prob.
  • Example using option, init=10 and prob=[0.01 0.05 0.99 0.999]

    n=2000;
    p=15;
    init=100;
    prob=[0.95 0.99 0.999];
    MMDenv = FSMenvmmd(n,p,'init',init,'prob',prob);
    Bbound = FSMbonfbound(n,p,'init',init,'prob',prob);
    figure;
    plot(MMDenv(:,1),MMDenv(:,2:end),'r',Bbound(:,1),Bbound(:,2:end),'b');

    Related Examples

    expand all

  • Comparison between chi2 and F distributions.
  • Example plotting distrib=chi2 and F, init=100 and prob=[0.999].

    n=2000;
    p=10;
    init=100;
    prob=[0.99];
    MMDenv = FSMenvmmd(n,p,'init',init,'prob',prob);
    distrib='chi2';
    BboundC = FSMbonfbound(n,p,'init',init,'prob',prob,'distrib',distrib);
    distrib='F';
    BboundF = FSMbonfbound(n,p,'init',init,'prob',prob,'distrib',distrib);
    figure;
    plot(MMDenv(:,1),MMDenv(:,2:end),BboundC(:,1),BboundC(:,2:end),BboundF(:,1),BboundF(:,2:end));
    legend('Order statistic envelope','Bonferroni Chi2 bound','Bonferroni F bound','Location','best');

    Input Arguments

    expand all

    n — number of observations. Scalar.

    Number of observations on which the envelopes are based.

    Data Types: single | double

    p — number of variables. Scalar.

    Number of variables on which the envelopes are based.

    Data Types: single | double

    Name-Value Pair Arguments

    Specify optional comma-separated pairs of Name,Value arguments. Name is the argument name and Value is the corresponding value. Name must appear inside single quotes (' '). You can specify several name and value pair arguments in any order as Name1,Value1,...,NameN,ValueN.

    Example: 'distrib','chi2' , 'init',50 , 'prob',[0.05 0.95]

    distrib —Reference distribution to use.character.

    The statistical distribution used to compute the approximated Bonferroni bounds. Distributions implemented are 'chi2' and 'F' (default).

    Example: 'distrib','chi2'

    Data Types: char

    init —Point where to start monitoring required diagnostics.scalar.

    Note that if bsb is supplied, init>=length(bsb). If init is not specified it will be set equal to floor(0.5*(n+p+1))+1.

    Example: 'init',50

    Data Types: double

    prob —quantiles for which envelopes have to be computed.vector.

    Vector containing 1 x k elements .

    The default is to produce 1 per cent, 50 per cent and 99 per cent envelopes.

    Example: 'prob',[0.05 0.95]

    Data Types: double

    Output Arguments

    expand all

    Bbound —Bonferroni forward envelopes of mmd. Matrix

    Matrix with n-m0+1 rows and length(prob)+1 columns: 1st col = fwd search index from m0 to n-1, 2nd col = bound for quantile prob[1], 3rd col = bound for quantile prob[2], ..., (k+1) col = bound for quantile prob[k].

    References

    Atkinson, A.C. and Riani, M. (2006), Distribution theory and simulations for tests of outliers in regression, "Journal of Computational and Graphical Statistics", Vol. 15, pp. 460-476.

    This page has been automatically generated by our routine publishFS