Powertra

Powertra computes power transformation (Box-Cox or Yeo-Johnson)

Syntax

Description

example

Ytra =Powertra(Y, la) Transform value 1, 2, 3, 4 and 5.

example

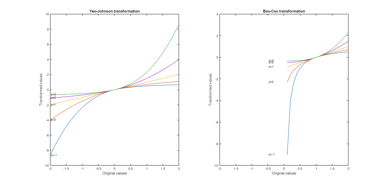
Ytra =Powertra(Y, la, Name, Value) Comparison between Box-Cox and Yeo-Johnson transformation.

Examples

expand all

  • Transform value 1, 2, 3, 4 and 5.
  • y=(1:5)';
    y1=Powertra(y,0.2);
    plot(y,y1)
    xlabel('Original values')
    ylabel('Transformed values using BoxCox')

  • Comparison between Box-Cox and Yeo-Johnson transformation.
  • close all
    y=(-2:0.1:2)';
    n=length(y);
    la=-1:1:3;
    nla=length(la);
    YtraYJ=zeros(n,nla);
    YtraBC=nan(n,nla);
    posy=y>0;
    for j=1:nla
    YtraYJ(:,j)=Powertra(y,la(j),'family','YJ','Jacobian',false);
    YtraBC(posy,j)=Powertra(y(posy),la(j),'family','BoxCox','Jacobian',false);
    end
    subplot(1,2,1)
    plot(y,YtraYJ)
    for j=1:nla
    text(y(1), YtraYJ(1,j),['\lambda=' num2str(la(j))])
    end
    xlabel('Original values')
    ylabel('Transformed values')
    title('Yeo-Johnson transformation')
    subplot(1,2,2)
    plot(y,YtraBC)
    xlim([y(1) y(end)])
    for j=1:nla
    text(y(16), YtraBC(22,j),['\lambda=' num2str(la(j))])
    end
    xlabel('Original values')
    ylabel('Transformed values')
    title('Box-Cox transformation')
    Click here for the graphical output of this example (link to Ro.S.A. website).

    Related Examples

    expand all

  • Mussels data.
  • load('mussels.mat');
    Y=mussels{:,:};
    la=[0.5 0 0.5 0 0];
    % Transform all columns of matrix Y according to the values of la using
    % the basic power transformation
    Y=Powertra(Y,la,'family','basicpower');

  • Simulated data to check option inverse.
  • n=100;p=5;
    Y=randn(n,p);
    Y(3,1:3)=0;
    la=[0.5 0 -0.5 2 0];
    family='YeoJohnson';
    % Transform all columns of matrix Y according to the values of la
    Ytra=Powertra(Y,la,'Jacobian',false,'family',family);
    Ychk=Powertra(Ytra,la,'Jacobian',false,'inverse',true,'family',family);
    disp(max(max(abs(Y-Ychk))))

  • Example of the use of optional input standardize.
  • Mussels data.

    load('mussels.mat');
    Y=mussels{:,:};
    la=[0.5 0 0.5 0 0];
    % Transform all columns of matrix Y according to the values of la using
    % the Box Cox transformation and standardize the data after
    % transformation.
    Y=Powertra(Y,la,'standardize',true);

    Input Arguments

    expand all

    Y — Input data. Matrix.

    n x v data matrix; n observations and v variables. Rows of Y represent observations, and columns represent variables.

    Missing values (NaN's) and infinite values (Inf's) are allowed, since observations (rows) with missing or infinite values will automatically be excluded from the computations.

    Data Types: single|double

    la — transformation parameters. Vector.

    k x 1 vector containing set of transformation parameters for the k ColtoTra.

    Data Types: single|double

    Name-Value Pair Arguments

    Specify optional comma-separated pairs of Name,Value arguments. Name is the argument name and Value is the corresponding value. Name must appear inside single quotes (' '). You can specify several name and value pair arguments in any order as Name1,Value1,...,NameN,ValueN.

    Example: 'family','BoxCox' , 'Jacobian',true , 'ColtoTra',[1 2 4] , 'inverse',true , 'standardize',true

    family —family of transformations.string.

    String which identifies the family of transformations which must be used. Possible values are 'BoxCox' (default) or 'YeoJohnson' (string YeoJohnson can be abbreviated with YJ) or 'basicpower' The Box-Cox family of power transformations equals (y^{\lambda}-1)/\ambda for \lambda not equal to zero, and log(y) if \lambda = 0.

    The YJ (YeoJohnson) transformation is the Box-Cox transformation of y+1 for nonnegative values, and of |y|+1 with parameter 2-\lambda for y negative.

    The basic power transformation returns y^{\lambda} if \lambda is not zero, and log(\lambda) otherwise.

    Remark: BoxCox and the basic power family can be used just if input y is positive. YeoJohnson family of transformations does not have this limitation.

    Example: 'family','BoxCox'

    Data Types: string

    Jacobian —Requested Jacobian of transformed values.true (default) | false.

    If true (default) the transformation is normalized to have Jacobian equal to 1. This option does not apply if inverse =1.

    Example: 'Jacobian',true

    Data Types: string

    ColtoTra —Variable to transform.vector.

    k x 1 integer vector specifying the variables which must be transformed. If it is missing and length(la)=v all variables are transformed

    Example: 'ColtoTra',[1 2 4]

    Data Types: single|double

    inverse —Inverse transformation.logical.

    If inverse is true, the inverse transformation is returned. The default value of inverse is false.

    Example: 'inverse',true

    Data Types: Logical

    standardize —standardize the data after transformation.logical.

    If standardize is true (default is false) zero-mean, unit-variance normalization to the transformed output is applied.

    Example: 'standardize',true

    Data Types: Logical

    References

    Yeo, I.K and Johnson, R. (2000), A new family of power transformations to improve normality or symmetry, "Biometrika", Vol. 87, pp. 954-959.

    See Also

    |

    This page has been automatically generated by our routine publishFS