ScoreYJ

Computes the score test for Yeo and Johnson transformation

Syntax

Description

example

outSC =ScoreYJ(y, X) Score with all default options for the wool data.

example

outSC =ScoreYJ(y, X, Name, Value) Score with optional arguments.

Examples

expand all

  • Score with all default options for the wool data.
  • Load the wool data.

    XX=load('wool.txt');
    y=XX(:,end);
    X=XX(:,1:end-1);
    % Score test using the five most common values of lambda.
    [outSc]=ScoreYJ(y,X);
    disp(outSc.Score)

  • Score with optional arguments.
  • Loyalty cards data.

    load('loyalty.txt');
    y=loyalty(:,4);
    X=loyalty(:,1:3);
    % la = vector containing the values of the transformation
    % parameters that have to be tested.
    la=[0.25 1/3 0.4 0.5];
    [outSc]=ScoreYJ(y,X,'la',la,'intercept',true);

    Related Examples

    expand all

  • Compare Score test using BoxCox and YeoJohnson for the wool data.
  • Wool data.

    XX=load('wool.txt');
    y=XX(:,end);
    X=XX(:,1:end-1);
    % Define vector of transformation parameters.
    la=[-1:0.01:1];
    % Score test using YeoJohnson transformation.
    [outYJ]=ScoreYJ(y,X,'la',la);
    % Score test using YeoJohnson transformation.
    [outBC]=Score(y,X,'la',la);
    plot(la',[outBC.Score outYJ.Score])
    xlabel('\lambda')
    ylabel('Value of the score test')
    legend({'BoxCox' 'YeoJohnson'})

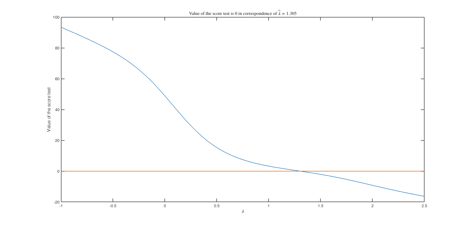
  • Score test using Darwin data given by Yeo and Johnson.
  • y=[6.1, -8.4, 1.0, 2.0, 0.7, 2.9, 3.5, 5.1, 1.8, 3.6, 7.0, 3.0, 9.3, 7.5 -6.0]';
    n=length(y);
    X=ones(n,1);
    la=-1:0.01:2.5;
    % Given that there are no explanatory variables, the test must be
    % called with intercept false.
    out=ScoreYJ(y,X,'intercept',false,'la',la,'Lik',1);
    plot(la',out.Score)
    xax=axis;
    line(xax(1:2),zeros(1,2))
    xlabel('\lambda')
    ylabel('Value of the score test')
    title('Value of the score test is 0 in correspondence of $\hat \lambda =1.305$','Interpreter','Latex')
    Click here for the graphical output of this example (link to Ro.S.A. website)

    Input Arguments

    expand all

    y — Response variable. Vector.

    A vector with n elements that contains the response variable.

    It can be either a row or a column vector.

    Data Types: single| double

    X — Predictor variables. Matrix.

    Data matrix of explanatory variables (also called 'regressors') of dimension (n x p-1). Rows of X represent observations, and columns represent variables.

    Missing values (NaN's) and infinite values (Inf's) are allowed, since observations (rows) with missing or infinite values will automatically be excluded from the computations.

    Data Types: single| double

    Name-Value Pair Arguments

    Specify optional comma-separated pairs of Name,Value arguments. Name is the argument name and Value is the corresponding value. Name must appear inside single quotes (' '). You can specify several name and value pair arguments in any order as Name1,Value1,...,NameN,ValueN.

    Example: 'intercept',false , 'la',[0 0.5] , 'Lik',false , 'nocheck',true , 'tukey1df',true

    intercept —Indicator for constant term.true (default) | false.

    Indicator for the constant term (intercept) in the fit, specified as the comma-separated pair consisting of 'Intercept' and either true to include or false to remove the constant term from the model.

    Example: 'intercept',false

    Data Types: boolean

    la —transformation parameter.vector.

    It specifies for which values of the transformation parameter it is necessary to compute the score test.

    Default value of lambda is la=[-1 -0.5 0 0.5 1]; that are the five most common values of lambda.

    Example: 'la',[0 0.5]

    Data Types: double

    Lik —likelihood for the augmented model.boolean.

    If true, the value of the likelihood for the augmented model will be produced, else (default) only the value of the score test will be given.

    Example: 'Lik',false

    Data Types: logical

    nocheck —Check input arguments.boolean.

    If nocheck is equal to true, no check is performed on matrix y and matrix X. Notice that y and X are left unchanged. In other words, the additional column of ones for the intercept is not added. As default nocheck=false.

    Example: 'nocheck',true

    Data Types: boolean

    tukey1df —Tukey's one df test.boolean.

    Tukey's one degree of freedome test for non-additivity.

    The constructed variable is given by

    \[ w_T(\lambda)= (\hat z(\lambda) - \overline z(\lambda))^2 / 2 \overline z(\lambda) \]

    where $z(\lambda)$ is the transformed response, and $\hat z(\lambda)$ are the fitted values on the transformed response. The t test on the constructed variable above provides a test from departures from the assumed linear model and is known in the literature as Tukey's one degree of freedome test for non-additivity.

    If tukey1df is true the test is computed and returned inside output structure with fieldname ScoreT else (default) the value of the test is not computed.

    Example: 'tukey1df',true

    Data Types: boolean

    Output Arguments

    expand all

    outSC — description Structure

    Containing the following fields:

    Value Description
    Score

    score test. Scalar. t test for additional constructed variable.

    Lik

    value of the likelihood. Scalar. This output is produced only if input value Lik=1.

    References

    Yeo, I.K. and Johnson, R. (2000), A new family of power transformations to improve normality or symmetry, "Biometrika", Vol. 87, pp. 954-959.

    This page has been automatically generated by our routine publishFS