Sregeda computes S estimators in linear regression for a series of values of bdp
Sreg with optimal rho function. Run this code to see the output shown in the help file.
n=200;
p=3;
randn('state', 123456);
X=randn(n,p);
% Uncontaminated data
y=randn(n,1);
% Contaminated data
ycont=y;
ycont(1:5)=ycont(1:5)+6;
[out]=Sregeda(ycont,X,'rhofunc','optimal');Run this code to see the output shown in the help file.
n=200;
p=3;
randn('state', 123456);
X=randn(n,p);
% Uncontaminated data
y=randn(n,1);
% Contaminated data
ycont=y;
ycont(1:5)=ycont(1:5)+6;
[out]=Sregeda(ycont,X,'rhofunc','hyperbolic');
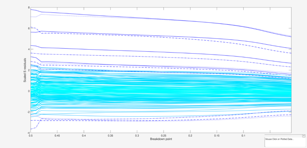
Sreg on Stars data.Run this code to see the Figure 2 of the article in the References.
load('stars');
X=stars{:,1};
y=stars{:,2};
[out]=Sregeda(y,X,'rhofunc','bisquare');
standard.Color={'b'}
standard.xvalues=size(out.RES,1)-size(out.RES,2)+1:size(out.RES,1)
fground.Color={'r'}
resfwdplot(out,'standard',standard,'fground',fground)
ylabel('Scaled S residuals');
RHO = [];
for i=1:49
RHO(i,1) = corr(out.RES(:,i),out.RES(:,i+1),'type','Spearman');
RHO(i,2) = corr(out.RES(:,i),out.RES(:,i+1),'type','Kendall');
RHO(i,3) = corr(out.RES(:,i),out.RES(:,i+1),'type','Pearson');
end
minc = min(RHO);
maxc = max(RHO);
ylimits = [min(minc)*0.8,max(maxc)*1.1];
figure;
subplot(3,1,1);
plot(out.bdp(1:49),RHO(:,1)');
if strcmp(out.class,'Sregeda')
set(gca,'XDir','reverse','ylim',ylimits);
title('Spearman');
end
subplot(3,1,2);
plot(out.bdp(1:49),RHO(:,2)');
if strcmp(out.class,'Sregeda')
set(gca,'XDir','reverse','ylim',ylimits);
title('Kendall');
end
subplot(3,1,3);
plot(out.bdp(1:49),RHO(:,3)');
if strcmp(out.class,'Sregeda')
set(gca,'XDir','reverse','ylim',ylimits);
title('Pearson');
endTotal estimated time to complete S estimate: 0.47 seconds
Total estimated time to complete S estimate: 0.34 seconds
Total estimated time to complete S estimate: 0.23 seconds
Total estimated time to complete S estimate: 0.19 seconds
Total estimated time to complete S estimate: 0.21 seconds
Total estimated time to complete S estimate: 0.18 seconds
Total estimated time to complete S estimate: 0.17 seconds
Total estimated time to complete S estimate: 0.19 seconds
Total estimated time to complete S estimate: 0.17 seconds
Total estimated time to complete S estimate: 0.18 seconds
Total estimated time to complete S estimate: 0.17 seconds
Total estimated time to complete S estimate: 0.16 seconds
Total estimated time to complete S estimate: 0.16 seconds
Total estimated time to complete S estimate: 0.18 seconds
Total estimated time to complete S estimate: 0.17 seconds
Total estimated time to complete S estimate: 0.17 seconds
Total estimated time to complete S estimate: 0.18 seconds
Total estimated time to complete S estimate: 0.16 seconds
Total estimated time to complete S estimate: 0.17 seconds
Total estimated time to complete S estimate: 0.17 seconds
Total estimated time to complete S estimate: 0.16 seconds
Total estimated time to complete S estimate: 0.17 seconds
Total estimated time to complete S estimate: 0.16 seconds
Total estimated time to complete S estimate: 0.16 seconds
Total estimated time to complete S estimate: 0.16 seconds
Total estimated time to complete S estimate: 0.18 seconds
Total estimated time to complete S estimate: 0.18 seconds
Total estimated time to complete S estimate: 0.16 seconds
Total estimated time to complete S estimate: 0.16 seconds
Total estimated time to complete S estimate: 0.16 seconds
Total estimated time to complete S estimate: 0.16 seconds
Total estimated time to complete S estimate: 0.17 seconds
Total estimated time to complete S estimate: 0.15 seconds
Total estimated time to complete S estimate: 0.15 seconds
Total estimated time to complete S estimate: 0.15 seconds
Total estimated time to complete S estimate: 0.11 seconds
Total estimated time to complete S estimate: 0.11 seconds
Total estimated time to complete S estimate: 0.12 seconds
Total estimated time to complete S estimate: 0.09 seconds
Total estimated time to complete S estimate: 0.10 seconds
Total estimated time to complete S estimate: 0.09 seconds
Total estimated time to complete S estimate: 0.08 seconds
Total estimated time to complete S estimate: 0.09 seconds
Total estimated time to complete S estimate: 0.08 seconds
Total estimated time to complete S estimate: 0.14 seconds
Total estimated time to complete S estimate: 0.08 seconds
Total estimated time to complete S estimate: 0.08 seconds
Total estimated time to complete S estimate: 0.08 seconds
Total estimated time to complete S estimate: 0.08 seconds
Total estimated time to complete S estimate: 0.09 seconds
standard =
struct with fields:
Color: {'b'}
standard =
struct with fields:
Color: {'b'}
xvalues: [-2 -1 0 1 2 3 4 5 6 7 8 9 10 11 12 13 14 15 16 … ] (1×50 double)
fground =
struct with fields:
Color: {'r'}
y — Response variable.
Vector.A vector with n elements that contains the response variable. y can be either a row or a column vector.
Data Types: single| double
X — Data matrix of explanatory variables (also called 'regressors') of
dimension (n x p-1).
Rows of X represent observations, and columns
represent variables.Missing values (NaN's) and infinite values (Inf's) are allowed, since observations (rows) with missing or infinite values will automatically be excluded from the computations.
Data Types: single| double
Specify optional comma-separated pairs of Name,Value arguments.
Name is the argument name and Value
is the corresponding value. Name must appear
inside single quotes (' ').
You can specify several name and value pair arguments in any order as
Name1,Value1,...,NameN,ValueN.
'bdp',[0.5 0.4 0.3 0.2 0.1]
, 'bestr',10
, 'conflev',0.99
, 'covrob',3
, 'intercept',false
, 'minsctol',1e-7
, 'msg',0
, 'nocheck',true
, 'nsamp',1000
, 'refsteps',10
, 'refstepsbestr',10
, 'reftol',1e-05
, 'reftolbestr',1e-10
, 'rhofunc','optimal'
, 'rhofuncparam',5
, 'plots',0
bdp
—breakdown point.scalar | vector.It measures the fraction of outliers the algorithm should resist.
In this case any value greater than 0, but smaller or equal than 0.5, will do fine.
The default for bdp is a sequence from 0.5 to 0.01 with step -0.01. The sequence is forced to be monotonically decreasing.
Example: 'bdp',[0.5 0.4 0.3 0.2 0.1]
Data Types: double
bestr
—number of "best betas" to remember.scalar.Scalar defining number of "best betas" to remember from the subsamples.
These will be later iterated until convergence (default=5).
Example: 'bestr',10
Data Types: single | double
conflev
—Confidence level which is
used to declare units as outliers.scalar.Usually conflev=0.95, 0.975, 0.99 (individual alpha) or 1-0.05/n, 1-0.025/n, 1-0.01/n (simultaneous alpha).
Default value is 0.975.
Example: 'conflev',0.99
Data Types: double
covrob
—scalar.a number in the set 0, 1, ..., 5 that specifies the type of covariance matrix of robust beta coefficients.
These numbers correspond to estimators covrob, covrob1, covrob2, covrob4, covrob4 and covrobc detailed inside file RobCov. The default value is 5 (i.e. estimator covrobc).
Example: 'covrob',3
Data Types: single | double
intercept
—Indicator for constant term.true (default) | false.Indicator for the constant term (intercept) in the fit, specified as the comma-separated pair consisting of 'Intercept' and either true to include or false to remove the constant term from the model.
Example: 'intercept',false
Data Types: boolean
minsctol
—tolerance for the iterative
procedure for finding the minimum value of the scale.scalar.Value of tolerance for the iterative procedure for finding the minimum value of the scale for each subset and each of the best subsets.
(It is used by subroutine minscale.m).
The default value is 1e-7;
Example: 'minsctol',1e-7
Data Types: single | double
msg
—Level of output to display.scalar.It controls whether to display or not messages on the screen.
If msg==1 (default) messages are displayed on the screen about estimated time to compute the estimator and the proportion of singular elemental subsets, if this proportion exceeds 0.1.
Note that the warnings about: 'MATLAB:rankDeficientMatrix', 'MATLAB:singularMatrix' and 'MATLAB:nearlySingularMatrix' are always set to off, else no message is displayed on the screen.
Example: 'msg',0
Data Types: single | double
nocheck
—Check input arguments.boolean.If nocheck is equal to true no check is performed on matrix y and matrix X. Notice that y and X are left unchanged. In other words, the additional column of ones for the intercept is not added.
As default nocheck=false.
Example: 'nocheck',true
Data Types: boolean
nsamp
—Number of subsamples that will be extracted to find the
robust estimator.scalar.If nsamp=0, all subsets will be extracted.
They will be (n choose p).
If the number of all possible subset is <1000, the default is to extract all subsets, otherwise just 1000.
Example: 'nsamp',1000
Data Types: single | double
refsteps
—Number of refining iterations.scalar.Number of refining iterations in each subsample (default = 3).
refsteps = 0 means "raw-subsampling" without iterations.
Example: 'refsteps',10
Data Types: single | double
refstepsbestr
—number of refining iterations for each best subset.scalar.Scalar defining number of refining iterations for each best subset (default = 50).
Example: 'refstepsbestr',10
Data Types: single | double
reftol
—tolerance for the refining steps.scalar.The default value is 1e-6;
Example: 'reftol',1e-05
Data Types: single | double
reftolbestr
—Tolerance for the refining steps.scalar.Tolerance for the refining steps for each of the best subsets.
The default value is 1e-8;
Example: 'reftolbestr',1e-10
Data Types: single | double
rhofunc
—rho function.string.String that specifies the rho function which must be used to weight the residuals.
Possible values are: 'bisquare' 'optimal' 'hyperbolic' 'hampel' 'mdpd'.
'AS'.
'bisquare' uses Tukey's $\rho$ and $\psi$ functions.
'optimal' uses optimal $\rho$ and $\psi$ functions.
'hyperbolic' uses hyperbolic $\rho$ and $\psi$ functions.
'hampel' uses Hampel $\rho$ and $\psi$ functions.
'mdpd' uses Minimum Density Power Divergence $\rho$ and $\psi$ functions.
'AS' uses Andrews' sine $\rho$ and $\psi$ functions.
The default is bisquare
Example: 'rhofunc','optimal'
Data Types: character
rhofuncparam
—Additional parameters for the specified rho function.scalar | vector.For hyperbolic rho function it is possible to set up the value of k = sup CVC (the default value of k is 4.5).
For Hampel rho function it is possible to define parameters a, b and c (the default values are a=2, b=4, c=8).
Example: 'rhofuncparam',5
Data Types: single | double
plots
—Plot on the screen.scalar.If plots = 1, generates a plot with the robust residuals for each value of bdp. The confidence level used to draw the confidence bands for the residuals is given by the input option conflev. If conflev is not specified, a nominal 0.975 confidence interval will be used.
Example: 'plots',0
Data Types: single | double
out — description
StructureA structure containing the following fields
| Value | Description |
|---|---|
Beta |
matrix of size length(bdp)-by-(p+1) containing the S estimator of regression coefficients for each value of bdp. The first column contains the value of bdp. |
tStat |
matrix of size length(bdp)-by-(p+1) containing the S estimator of t statistics for each value of bdp. The first column contains the value of bdp. The type of t stat which is monitored depends on option tstattype. |
Scale |
vector containing the estimate of the scale (sigma) for each value of bdp. This is the value of the objective function |
BS |
p x 1 vector containing the units forming best subset associated with S estimate of regression coefficient. |
RES |
n x length(bdp) matrix containing the robust scaled residuals for each value of bdp. |
Weights |
n x length(bdp) vector containing the estimates of the weights for each value of bdp. |
Outliers |
Boolean matrix containing the list of the units declared as outliers for each value of bdp using confidence level specified in input scalar conflev. |
conflev |
confidence level that has been used to declare outliers. |
Singsub |
Number of subsets without full rank. Notice that out.singsub(bdp(jj)) > 0.1*(number of subsamples) produces a warning. |
rhofunc |
string identifying the rho function that has been used. |
rhofuncparam |
vector that contains the additional parameters for the specified rho function which have been used. For hyperbolic rho function the value of k =sup CVC. For Hampel rho function the parameters a, b and c. This field is present only if input argument 'rhofunc' is 'hyperbolic' or 'hampel'. |
bdp |
vector that contains the values of bdp which have been used. |
y |
response vector y. |
X |
Data matrix of explanatory variables that has been used (it also contains the column of ones, if input option intercept was missing or equal to 1). |
class |
'Sregeda' |
Riani, M., Cerioli, A., Atkinson, A.C. and Perrotta, D. (2014), Monitoring Robust Regression, "Electronic Journal of Statistics", Vol. 8, pp. 646-677.
Maronna, R.A., Martin D. and Yohai V.J. (2006), "Robust Statistics, Theory and Methods", Wiley, New York.